首页
单位概况
党建动态
通知公告
党务公开
党建风采
首页
单位概况
党建动态
通知公告
党务公开
党建风采
你的位置:
首页
>
单位概况
>
巴音陶亥镇
>
通知公告
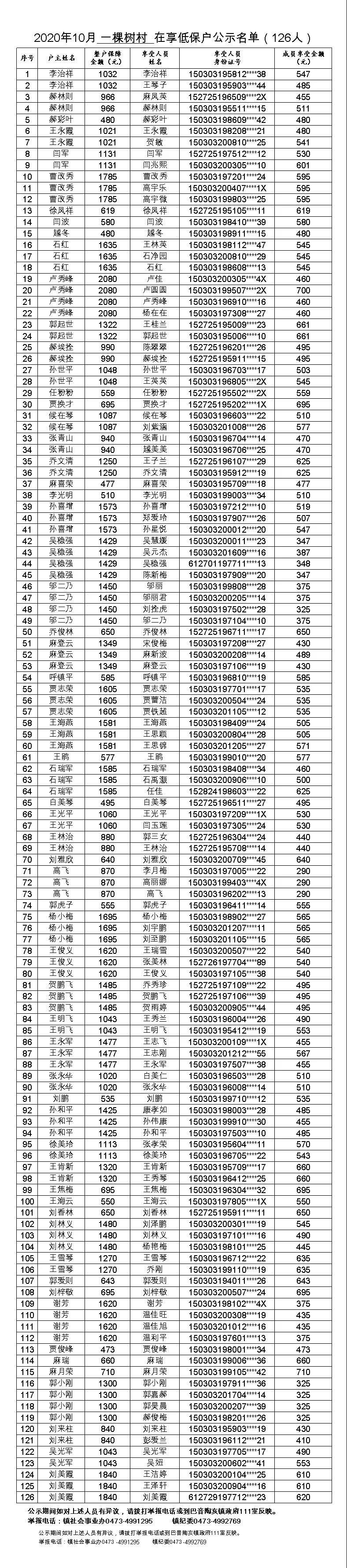
2020年10月在享低保人员公示名单
发布时间:
2020-10-15
来源:
魅力巴音陶亥
作者:
巴音陶亥镇
上一篇:
注意|乌海检车有新变化!
下一篇:
巴音陶亥镇人民政府关于加强村容村貌整治的通告
邮编:
016000
联系电话:
0473-4022588
备案号:
蒙ICP备16000675
蒙公网安备 15030302000014号
技术支持:
鄂尔多斯市海瑞科技有限责任公司
建议使用:
1024*768分辨率 IE8.0以上版本浏览器