首页
单位概况
党建动态
通知公告
党务公开
党建风采
首页
单位概况
党建动态
通知公告
党务公开
党建风采
你的位置:
首页
>
单位概况
>
巴音陶亥镇
>
通知公告
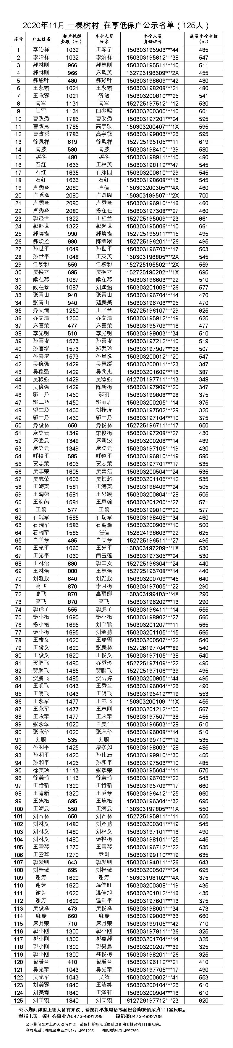
2020年11月在享低保人员名单公示
发布时间:
2020-11-23
来源:
魅力巴音陶亥
作者:
巴音陶亥镇
2020年11月在享低保人员名单公示
上一篇:
乌海疫情防控紧急提示
下一篇:
一部“有温度”的法律!<br />中华人民共和国退役军人...
邮编:
016000
联系电话:
0473-4022588
备案号:
蒙ICP备16000675
蒙公网安备 15030302000014号
技术支持:
鄂尔多斯市海瑞科技有限责任公司
建议使用:
1024*768分辨率 IE8.0以上版本浏览器