首页
单位概况
党建动态
通知公告
党务公开
党建风采
首页
单位概况
党建动态
通知公告
党务公开
党建风采
你的位置:
首页
>
单位概况
>
巴音陶亥镇
>
通知公告
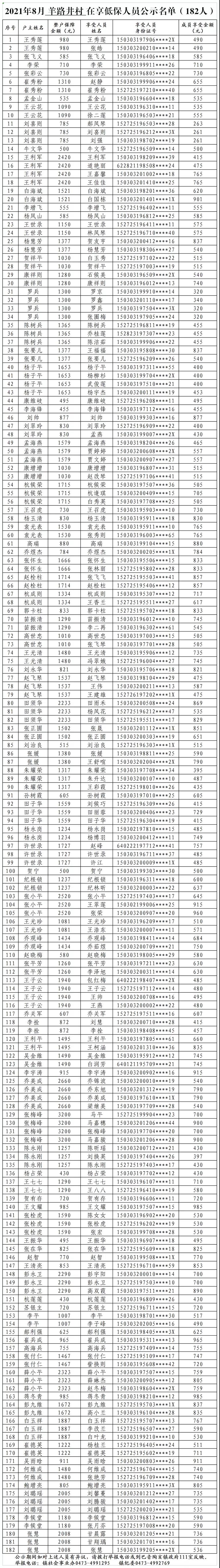
2021年8月各村在享低保人员名单公示
发布时间:
2021-08-16
来源:
魅力巴音陶亥
作者:
杨天成
上一篇:
“双减”工作内蒙古这样做!减轻校内作业负担 提升课堂...
下一篇:
关于依法严厉打击疫情防控期间违法犯罪的通告
邮编:
016000
联系电话:
0473-4022588
备案号:
蒙ICP备16000675
蒙公网安备 15030302000014号
技术支持:
鄂尔多斯市海瑞科技有限责任公司
建议使用:
1024*768分辨率 IE8.0以上版本浏览器